1 Introduction
Travel is constantly changing and developing dramatically, especially with the introduction of new technologies. From artificial intelligence, which personalizes visitors’ experiences, to advanced applications for planning trips in some of the Slovak cities. That is why, even in the context of the growing use of information technology and geo-economic competition of European cities, the issue of more efficient and effective implementation of digital marketing tools in the context of local governments is increasingly coming to the forefront of scientific research. The main goal is to build their competitiveness in the field of tourism (Černá and Ližbetinová 2024). Municipalities are the pillars of tourism, because they provide a certain environment for visitors, and they also ensure the management and development of public spaces that are intended for tourist activities. Cities, as administrative and territorial units in European countries, have the opportunity to use many elements to achieve increased tourism development in the form of introducing an integrated approach to solving existing problems in their territory (Morrison 2013). The aim of the study is to identify the level of use of digital marketing communication tools in the context of the development of urban tourism in the Slovak Republic, and to analyze possible barriers and disparities in their implementation in practice. With the intention of putting theoretical insights into practice, the analytical part of the work defines the significance of digitalization for the field of tourism and the possibilities of using digital communication tools in the selected municipalities, which is followed by a descriptive analysis of primary data in the field of used online marketing communication tools and statistical verification of two established hypotheses.
2 Theoretical basis of the studied issue
The development of electronic business (e-Business) as the implementation of business processes, carried out using electronic information technology and systems, is undoubtedly related to the development of e-Tourism. The implementation of the purchase of services in tourism/choice of destination by consumers is carried out through electronic information technologies (Černá and Ližbetinová 2024). E-Tourism represents the use of information and communication technology within tourism as the implementation of the purchase of tourism services/choice of destination by consumers and therefore the use of electronic information technology, destination selection, search for accommodation facilities, reservations, payments, etc. The purpose of the research is to present a theoretical view and opinions of the professional community on the tasks and importance of implementing forms of online marketing communication in terms of building an effective tourist potential of local self-governments in Slovakia (Kumar et al. 2025).
Before defining the online marketing communication tools used in the tourism of the territory, it is necessary to realize the importance of digitalization of marketing and communication activities in the conditions of the territorial self-government (Kebab 2025). Digital marketing communication represents the way in which the local self-government communicates and builds a relationship with its customers. It is about clear and understandable communication towards the customer, as well as building the customer’s opinion about the company (Gascó-Hernández and Torres-Corones 2009). Thanks to the online data that the local self-government has at its disposal (customer profiles, history of their transactions), it can more easily approach market segmentation and thus offer more personalized products, build a relationship with the public (residents and visitors) and motivate them to visit again (Lukáč and Halmo 2018).
One of the most striking new trends in tourism is digitalization (online reservations, flight tickets, accommodation, experiences) (Sutresno and Singgalen 2023). The proof is the fact that up to 60% of tourists prefer online reservations over traditional methods. This is mainly about convenience for customers and creating an agenda for entrepreneurs for innovative improvement of the customer experience. Information technologies are specific in regional tourism for their personalization and offering „tailor-made experiences“ (Daszkiewicz and Pukas 2016). Thanks to artificial intelligence, the creation of individual itineraries (preferences, interests and previous trips of customers) is the driving force for increasing customer satisfaction and optimizing costs for local self-governments in the field of tourism. It is the combination of digitalization and territory marketing that creates space for a complex ecosystem (data analysis, customer psychology and technology integration), i.e. the use of advanced analytical tools (AI and Big data), for collecting and analyzing a large amount of information about your customers, adapting the advertising campaign and offers various options according to the preferences and needs of the target group (Sammy, Robinson and Oriande 2017).
Artificial intelligence is also used through Chatbots. It is a chat robot, the technology conducts a dialogue with people. They provide quick answers to travelers’ questions, respond to the most common questions. The importance is in customer support and assistance with ordering/booking tickets, obtaining information about a given area, tips for trips and visiting tourist sites, etc. It can also be a personal assistant who suggests itineraries based on user preferences (Vangelov 2022). It is clear that 75% of young travelers use mobile applications to plan and book their trips, which creates a market for startups and innovative companies. The fundamental group of communication tools examined in the analytical part are the activities of local self-governments associated with communication in the digital space (Adinugraha 2022; Diedrich 2018).
According to the authors Castro, Silvia and Duarte (2017, p. 87), „digital marketing is a relevant channel for promoting the territory, with the website being the center of the entire digital marketing strategy, as it gathers all the information about the given region.“ However, the use of the website by municipalities itself is not the subject of the research. The research focuses on the implementation of new digital trends placed on city websites, such as Chatbots, virtual tours, online shopping/reservations, SEO search, Google Analytics 4, heat mapping, as well as the use of GoogleAds, Google Ranking, CRM (Customer Relationship Management), CMS (Content Marketing System) (Almeida, Santana and Moreno-Gil 2017). In addition to websites, local self-governments can also use other tools to increase effective online marketing communication. One of them is mobile marketing, which uses the functions of modern technologies, such as location services to obtain information about frequently visited places within the territory, mobile applications, digital regional/city maps, etc. Another effective tool is the creation and regular recording of podcasts published either on the website or on social networks (Fernández Cueria et al. 2022).
Another studied form of marketing communication is social media. They have changed the communication environment and have clearly influenced the online marketing communication of local self-governments, for which they are becoming one of the most common daily communication tools. Ryan et al. (2017, p. 121) state that „social networks are an umbrella term for web-based software and services that allow users to associate online and exchange information, discuss, communicate and participate in any form of social interaction“. According to the authors Szromnik (2016), social media can be classified as any site that allows social interaction, while the study examines social networks: Facebook, Twitter, Whatsapp, Instagram, MySpace and LinkedIn; blogs, video blogs and microblogs (Twitter); discussion forums (Yahoo and Answers) and shared multimedia (YouTube) (Gburová 2017; Kočišová and Štarchoň 2023). Thanks to social media, local self-government representatives can communicate in various ways (status, video, reels – short videos, photos, invitations to events, online broadcasts, updates, news, etc.), and they generate new content that the public recommends, shares, checks and evaluates products/services, discusses current events and engages in hobbies and interests within the territory. Cooperation with macro and micro influencers is also becoming a trend (Gburová 2023; Reľovská and Štrbová 2021).
In connection with the analysis of the use of digital marketing communication in the tourism of the territory, the subject of the questionnaire survey within the framework is also the identification of barriers to its implementation. In the professional literature, we encounter several opinions on the reasons for the failure of the implementation of digital marketing activities in the tourism of the territory. The first aspect is the fact that there are a lot of disparities between local self-governments in the quality or absence of the development of a marketing/communication strategy for the territory, or their copying and repetition in individual periods (Halmo 2018). It may also be due to insufficient use of innovations within the framework of digitalization, lack of measurement and statistical analysis, inability to demonstrate return on investment in online marketing, lack of practice/experience of tourism workers with digitalization, as well as inadequate and insufficient approved budget reserved for the area of online marketing and communication activities of the local self-government (Gburová, Lukáč and Matušíková 2014).
Regional tourism organizations themselves obtain funds in various ways. One of them is subsidies from the Ministry of Tourism and Sports of the Slovak Republic. These are distributed based on a model related to the selected „accommodation tax“. Organizations can obtain funds depending on how much accommodation tax was collected in their territory. The conditions for drawing subsidies from the state are firmly established. They are most often used for marketing activities, development of tourist products, infrastructure, strategy creation and organization of events. Another form is membership contributions from members (cities, municipalities, private tourism companies) who pay membership contributions. These contributions are a significant part of the budget and serve for current activities (operation or projects) (Dorázs 2023).
A significant part of the financing is own revenues, for example from the operation of tourist information centers, from the mediation of services (e.g. tours, guide services), the sale of advertising space, or from the sale of products, souvenirs, etc. Organizations also obtain funds through non-refundable financial contributions (grants). Organizations often apply for grants from domestic and foreign sources (e.g. The European Union) aimed at implementing projects in the field of tourism (Act No. 91/2010 Coll. on the Support of Tourism). Since there are 39 regional tourism organizations operating in the Slovak Republic, not all of them list the financial resources spent on marketing communication in their annual reports. Therefore, it is not possible to compare or analyze individual data based on secondary data.
In conclusion of the theoretical part, it can be stated that the use of marketing in the context of e-Tourism supports the promotion of parts of the destination that are less attractive, increases the evenness of use of the destination and its surroundings during and outside the seasons, thus creating sustainable tourism. It also involves preparing the visitor for a stay in the destination: transport, weather, cultural customs, ethics, possible visualization (virtual tour of the place and cameras that allow viewing certain attractions online) (Beresecká 2019).
3 Research methodology
The scientific study focuses on the analysis of the use of digital marketing communication tools in the conditions of local self-government. The purpose of the study is to define the online marketing communication of the surveyed local self-governments in effort to effectively increase their tourism potential and identify implementation disparities that occur in practice. The main objective of the study is to identify the level of use of digital marketing communication tools in the context of urban e-Tourism in the conditions of the Slovak Republic, and to analyze possible barriers and disparities in their implementation. After defining the main objective, we set two research questions, which are followed by two hypotheses. We will statistically verify them in the third chapter.
The first research question is about the current factors that affect the level of use of digital marketing tools in the conditions of the studied local self-governments. In order to verify the established research question, the individual answers of the respondents will be numerically expressed on a statistical scale from 1 to 5. Verification of the established first hypothesis helps to further clarify the causes of the different use of digital marketing tools and at the same time presents a comparison of the statistical significance of the studied variables in comparison with other variables in the data matrix.
Research Question 1: What factors influence the level of use of digital marketing tools in the local self-government?
Hypothesis H1: There is a statistically significant relationship between the level of use of digital marketing tools and the size of the local self-government (by population).
The second research question examines the level of influence of current barriers in the implementation of online marketing communication tools in the studied local self-governments. We assume that the amount of financial resources that municipalities, cities and RTO have at their disposal to the greatest extent influence the above-mentioned implementation. Similarly, the statistical measurement of the second hypothesis will present the statistical significance of other variables – barriers.
Research Question 2: What is the level of influence of existing barriers in the implementation of online marketing communication tools in the local self-governments?
Hypothesis H2: There is a statistically significant relationship between the level of barriers in the implementation of marketing communication of the territory and the approved financial budget for the development of e-Tourism in the selected local self-government.
Object of research
The object of research is 141 local self-governments (cities) in the territory of the Slovak Republic. The choice of the object of research is influenced by the factor of homogeneity of local self-governments from the point of view of their institutional organization. Each local self-government, according to Act No. 91/2010 Coll. on the promotion of tourism, establishes a regional/county tourism organization at the local or regional level for activities related to the promotion and marketing of the given regional territory.
Selection of respondents
The basic set consists of a group of respondents, i.e. leaders in the field of tourism and marketing communication in local self-government in the conditions of the Slovak Republic. The research sample is selected by purposive sampling. These are managers/specialists working at the city office or in the OOCR, who are responsible for tourism management and related marketing and communication activities in the cities. Regional organizations are focused on supporting the activities of their members in the creation and implementation of concepts, assist in the creation of marketing and promotion of tourism, support the protection and preservation of natural and cultural heritage, and implement tourism development concepts. The organizations are also established with the aim of supporting and creating conditions for the development of tourism and protecting the interests of their members. They are established by at least five municipalities, whereas the total number of overnight visitors in accommodation facilities of these municipalities must reach at least 100,000 in the previous calendar year.

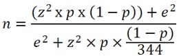
Formula 1: Calculating the research sample size
Source: Melušová (2021)
Thanks to the above formula, we calculated the size of the research sample required to conduct a questionnaire survey. The population size (N) is 344 respondents. According to the calculation, a sample size of 193 respondents is required in the field of tourism.
Data collection
When collecting primary information, a qualitative survey technique is used in the form of a questionnaire survey in the period May – August 2025. The above technique serves to determine the level of use of digital marketing communication tools in local self-government, as well as to examine the digital skills of local tourism providers and to identify existing barriers and disparities in the implementation of digital marketing communication in the field of tourism. In order to address a larger number of respondents (local tourism providers), the survey is conducted using an online questionnaire. When processing individual responses from respondents and verifying the established hypotheses, the correlation analysis method is applied for quantitative evaluation of the obtained data using the statistical software IBM SPSS Statistics and Microsoft Excel software. Individual responses of respondents are coded within a data matrix created in Microsoft Excel software and for statistical measurement in the statistical software IBM SPSS Statistics.
As part of the interpretation of the research results and verification of all hypotheses, correlation and regression analysis is used. To determine the dependence test, statistical testing of the Pearson test will be used, according to which it is possible to determine the strength and type of observed dependencies between the researched phenomena. To define the correlatio2n relationship of variables, the correlation coefficient expressing the degree of linear dependence of the two researched variables will be used. Cohen interpreted the correlation coefficient as follows: a value in the interval 0.0-0.1 shows a trivial correlation; 0.1-0.29 a small correlation; 0.3-0.49 a medium correlation; 0.5-0.69 a large correlation; 0.7-0.89 a very large correlation and 0.9-1.0 an almost perfect one. However, it should be noted that a minus value represents an inverse proportionality (from -1 to 0), while a plus value represents a direct proportionality (from 0 to 1). In order to maintain the reliability of the correlation analysis performed, a value of 0.5 will be set. This is a regression analysis that provides a numerical verification of the statistical significance of the dependence of the two variables under investigation (Budíková and Železňáková 2018).
4 Analysis of the implementation of digital marketing in the context of tourism development of the studied municipalities
The fourth chapter presents the results of the analytical part in the context of the evaluation and interpretation of the questionnaire survey results. 205 respondents participated in the survey. The obtained primary data are presented in a graphical representation with a similar numerical expression. The second part of the third chapter shows the statistical verification of two established hypotheses. The statistical software IBM SPSS Statistics and Microsoft Excel were used to obtain the results.
4.1 Results of the survey
The analytical part evaluates the number of years of service and the number of years of experience in the field of tourism of respondents in individual local self-governments. In the questionnaire, respondents indicated the numerical value of the number of years of service, which were subsequently classified into three groups. In total, 55 respondents indicated the first group of years of service (0-4), 96 respondents have been working in their job for five to nine years, and 54 respondents have been working in their position for more than 9 years. Respondents also answered which category according to size (number of inhabitants) the local self-government in which they work belongs. 23 respondents work in a local self-government with less than 4,999 inhabitants, 52 respondents in a local self-government with 5,000 to 9,999 inhabitants, 59 respondents in a local self-government with 10,000 to 19,999 inhabitants, and 71 respondents in a local self-government with over 20,000 inhabitants.
In Figure 1, it is possible to see the level of digital skills within the work activities of the respondents (Hatňaková 2020). In the questionnaire survey, the respondents assigned levels from 1 to 5 in scale questions (where 1 means the least used, 5 the most used), which were averaged into the resulting numerical value according to the size of the local self-governments.

Figure 1: Level of digital skills within the work activities of respondents
Source: Author
The respondents’ statements in Figure 2 illustrate the level of use of digital tools in the context of supporting tourism development in the surveyed municipalities. Respondents stated that Microsoft Office tools, content marketing (CRM) tools, as well as the use of SEO optimization in connection with the website are the most implemented.

Figure 2: Level of use of marketing digital tools
Source: Author
Figure 3 shows that there are significant disparities in the implementation of digital marketing tools by respondents in support of tourism development in the surveyed municipalities. It is clear that municipalities with over 20,000 inhabitants use digital tools to a greater extent, which require a higher level of digital skills from their users.

Figure 3: Level of use of digital marketing tools
Source: Author
From Figure 4 it is clear that the level of use of online communication tools with visitors in individual municipalities represents different results among respondents. Respondents mostly use the website, social networks such as Facebook and Instagram or e-mail communication for online communication with visitors. On the contrary, the least used are the social networks TikTok, X and Threads, as well as the creation of podcasts.

Figure 4: Level of use of online communication tools
Source: Author
According to Figure 5, the level of perception of barriers in the implementation of forms of digital tourism marketing by respondents is assessed.

Figure 5: Level of perception of barriers in implementing forms of digital marketing
Source: Author
The results of the questionnaire survey clearly show that the size of the municipality in terms of population has an impact not only on the marketing skills of respondents as carriers of online digital marketing in the conditions of local self-government, but also on the level of use of digital marketing communication tools. Respondents further state that the biggest barrier is considered to be insufficient financial resources approved in the city budget, as well as the absence of development of strategic documents related to the implementation of digital marketing communication, in order to promote their territory. The following part of the third chapter presents the results of statistical verification of two established hypotheses.
4.2 Testing of hypotheses
The second part of the analysis is a correlation analysis carried out in the statistical software IBM SPSS Statistics with the aim of verifying two established hypotheses and answering the research questions. Within the framework of research question 1: What factors influence the level of use of digital marketing tools in local self-government? variables „level of use of digital marketing tools“ and „existence of barriers to the implementation of digital marketing tools in the context of supporting tourism development“ are statistically analyzed through hypothesis H1. Table 1 shows the data matrix with the results of the correlation analysis of the investigated variables „level of use of digital marketing tools“ and „existence of barriers to the implementation of digital marketing tools“.
| Level of use of digital marketing tools | Existence of barriers to DMN | Digital marketing skills | Number of years of experience (tourism sector) | Number of years worked in a given position | Size of the municipality (number of inhabitants) | |
|---|---|---|---|---|---|---|
| Level of use of digital marketing tools | 1 | |||||
| Existence of barriers to DMN | 0.793483 | 1 | ||||
| Digital marketing skills | 0.705196 | 0.437285 | 1 | |||
| Number of years of experience (tourism sector) | 0.585003 | 0.248489 | 0.743992 | 1 | ||
| Number of years worked in a given position | 0.448869 | 0.143748 | 0.696203 | 0.128479 | 1 | |
| Size of the municipality (number of inhabitants) | 0.627105 | 0.743895 | 0.719047 | 0.327904 | 0.190478 | 1 |
Table 1: Correlation analysis data matrix – Hypothesis H1
Source: Author
The results in the correlation matrix (Table 1) show that there is a statistically significant relationship between the level of use of digital marketing tools and the existence of barriers to the implementation of digital marketing tools in the development of tourism in self-government. The result of the correlation analysis of the variables under study is the value of 0.793483 (Correlation coefficient – Pearson’s „R“). This is a significant linear dependence. The strength of the relationship between the variables is represented by the coefficient of determination, which can be obtained after exponentiating „R“ under the equation R2 = 0.630. This means that the practical experience of employees of self-governing regional offices affects their marketing skills by 63.00%. From the above, it follows that the first hypothesis was confirmed, because statistical significance represents a linear dependence. Hypothesis H1 was confirmed because the impact values of the investigated variables, resulting from the correlation analysis, reach a value in the range of 0.7 to 0.9 and this is a very large correlation.
Research question 2: What is the level of influence of existing barriers in the implementation of online marketing communication tools in the studied local self-governments? deals with the examination of barriers that influence the level of use of online marketing communication tools in the studied local self-governments in the context of tourism development. It will be examined through hypothesis H2. Within the framework of research question 2, the possible variables „level of barriers in the implementation of marketing communication of the territory“ and „approved financial budget for the development of e-Tourism in the studied local self-government“ are statistically analyzed through hypothesis H2. Table 2 shows a data matrix with the results of the correlation analysis of the studied variables.
| Use of marketing communication | Absence of strategic documents | Digital skills of employees | Approved budget (tourism sector) | Number of years of experience (tourism) | Absence of use of innovations | |
|---|---|---|---|---|---|---|
| Use of marketing communication | 1 | |||||
| Absence of strategic documents | 0.397461 | 1 | ||||
| Digital skills of employees | 0.63794I | 0.226747 | 1 | |||
| Approved budget (tourism sector) | 0.874285 | 0.48636I | 0.115683 | 1 | ||
| Number of years of experience (tourism) | 0.458942 | 0.335710 | 0.613605 | 0.095535 | 1 | |
| Absence of use of innovations | 0.686327 | 0.167842 | 0.763584 | 0.887346 | 0.268427 | 1 |
Table 2: Data matrix of correlation analysis – Hypothesis H2
Source: Author
Based on the correlation analysis (Table 2), it can be stated that there is a statistically significant relationship between the level of existence of barriers in the use of online communication tools and the approved budget for the tourism sector. Their correlation coefficient shows the value R = 0.874285. The correlation coefficient (Pearson’s „R“) is calculated using the software IBM SPSS Statistics. The strength of the relationship between the variables is represented by the coefficient of determination, which can be obtained after exponentiating „R“ under the equation R2 = 0.764. This means that the level of the existing barrier (approved budget for the tourism sector) affects the level of use of marketing communication tools in the context of e-Tourism development in the monitored territories by 76.40%. Hypothesis H2 was confirmed because the values of the influence of the investigated barrier on the level of use of marketing communication, resulting from the correlation analysis, reach a value in the range of 0.7 to 0.9 and this is a very large correlation. In conclusion of the third chapter of the study, it can be stated that both hypotheses were confirmed and there is a statistically significant connection between the variables.
5 Discussion: Theory vs. practice
Despite the fact that the studied territorial units are located in different competitive environments with different levels of digital marketing skills of respondents, the level of implementation of the digital communication mix and with different levels of perception of existing barriers, it is possible to propose a generally valid model of marketing management of the territory. For the development of e-Tourism of the studied self-governing units, it is necessary that they have a strategy defining all planned phases of the implementation of online marketing communication for a specified period. The concept of online marketing communication management should assume a wide range of target recipients which are, in addition to visitors, the city’s permanent residents themselves, citizens living in the region, citizens commuting to the region/city for work (domestic and foreign) or education (secondary school and university students).
With foreign visitors as target groups, it is necessary to use online direct marketing activities as effectively as possible. It is appropriate to use artificial intelligence to optimize offers, introduce chatbots, launch mobile applications, etc. In order for the recommendations in terms of implementing the proposals to become effective in practice, it is necessary to define a working group participating in the creation of a communication strategy consisting of the public, private and non-profit sectors. It is necessary to define their position and tasks, maintain regular communication, systematically increase the level of marketing skills of actors and proceed according to the pre-determined phases of the online marketing communication management process. The result would be the removal of possible existing barriers, the development and subsequent implementation of a strategy. However, it is necessary to adapt the individual steps of the process to your conditions, the current competitive position of local self-governments and take into account your own financial, personnel and material and technical resources.
The study focused on the use and statistical analysis of the level of use of digital marketing communication tools in the development of tourism in local self-government reflects some limitations. The first of these is the absence of employees of municipal and city offices for the field of tourism. Most municipalities in Slovakia do not have sufficient financial resources to employ employees, whether for the field of tourism, culture, municipality, strategic manager, etc. For this reason, we can also perceive the individual answers of respondents regarding the development of tourism not entirely correctly. In most municipalities, activities related to digital marketing communication of the municipality are carried out by the mayor of the municipality himself, or by a worker authorized for this. Another limitation of the study is the available data that individual respondents in the tourism development sector have. As mentioned above, there are significant differences in the use of statistical analyses and tools for efficient and effective data collection related to website traffic, the use of individual social networks or the implementation of artificial intelligence.
An equally important limitation of obtaining relevant data is the uneven use of financial resources for digital marketing communication of activities of municipalities and cities related to the development of tourism in their territory. This creates space for further research activities aimed at identifying state financing of municipalities and cities, possibilities of obtaining non-recurring financial resources, or the financing of regional tourism organizations themselves. The activities of the aforementioned organizations encounter a significant problem, which is the implementation of the projects themselves, for example, financed from state subsidies, which cannot cross the borders of the territory in which the organizations carry out their activities.
Literatúra/List of References
- Act No. 91/2010 Coll. on the Support of Tourism. 2010. [online]. [cit. 2025-07-09]. Available at: <https://www.slov-lex.sk/ezbierky/pravne-predpisy/SK/ZZ/2010/91/20220330>
- Almeida-Santana, A. and Moreno-Gil, S., 2017. New trends in information search and their influence on destination loyalty: Digital destinations and relationship marketing. In: Journal of Destination Marketing and Management. 2017, 6(2), 150-161. ISSN 2212-571X. [online]. [cit. 2025-07-09]. Available at: <https://www.academia.edu/32352046/New_trends_in_information_search_and_their_in fluence_on_destination_loyalty_Digital_destinations_and_relationship_marketing>
- Adinugraha, H., 2022. Digital marketing of tourism destinations. In: Jurnal Ekonomi dan Bisnis Airlangga. 2022, 32(2), 130-137. ISSN 2597-4564. [online]. [cit. 2025-09-07]. Available at: <https://www.researchgate.net/publication/366014740_DIGITAL_MARKETING_IN_TOURISM_DESTINATIONS>
- Beresecká, J., 2019. Marketingovo-komunikačná stratégia brandingu lokálneho turizmu. Nitra: Univerzita Konštantína Filozofa v Nitre, 2019, p. 53. ISBN 978-80-558-1400-1.
- Budíková, M and Železňáková, E., 2018. Korelačná analýza v systéme STATISTICA. Brno: Masarykova univerzita, 2018, p. 36 ISBN 978-80-210-9202-0.
- Castro, S. R., Silva, S. C. E. and Duarte, P., 2017. Does digital marketing really boost city tourism? Evidences from Porto’s Experience. In: European Journal of Applied Business Management. 2017, 3(3), 84-100. ISSN 2183-5594. [online]. [cit. 2020-10-21]. Available at: <https://www.researchgate.net/publication/322156205_Does_Digital_Marketing_really_ boost_city_tourism_Evidences_from_Porto_%27_s_Experience>
- Černá, J. and Ližbetinová, L., 2024. Digital transformation processes in tourism. In: Forum scientiae oeconomia. 2024, 12(2), 65-83. ISSN 2353-4435.
- Dorázs, T., 2023. Marketing služieb v kontexte cestovného ruchu. Trnava: Univerzita sv. Cyrila a Metoda v Trnave, 2023, p. 78. ISBN 978-80-572-0409-1.
- Daszkiewicz, M. and Pukas, A., 2016. City marketing communication – challenges and inspirations. In: Jagiellonian Journal of Management. 2016, 2(2), 85-100. ISSN 2450‑114X. [online]. [cit. 2025-07-09]. Available at: <https://www.researchgate.net/publication/311486944_City_marketing_communication_-_challenges_and_inspirations>
- Diedrich, M., 2018. Everyday internet use. How do end users use the mobile internet? In: Marketing Science & Inspirations. 2018, 13(1), 21-29. ISSN 1338-7944. [online]. [cit. 2025-07-12]. Available at: <https://msijournal.com/how-do-end-users-use-the-mobile-internet/>
- Fernández Cueria, N. et al., 2022. Digital marketing management in tourist organizations. In: Revista Científica „Visión de Futuro“. 2022, 26(2), 211-224. ISSN 1669-7634.
- Gascó-Hernández, M. and Torres-Corones, T., 2009. Information communication technologies and city marketing: Digital opportunities for cities around the world. [online]. [cit. 2025-07-03]. Available at: <https://www.perpustakaan.usni.ac.id/index.php?p=fstream&fid=345&bid=7817>
- Gburová, J., 2017. Možnosti využitia marketingu a marketingovej komunikácie na propagáciu miest a obcí. In: Journal of Global Science. 2017, 2(4), 1-6. ISSN 2453-756X.
- Gburová, J., 2023. Selected social media as an innovative form of marketing communication in tourism. In: Manažérske inovácie v cestovnom ruchu: medzinárodný vedecký zborník. Prešov: Prešovská univerzita v Prešove. 2023, 123-130. ISBN 978-80-555-3121-2.
- Gburová, J., Lukáč, M. and Matušíková, D., 2024. Impact of digital tools on the interest in visiting heritage objects in tourism. In: GeoJournal of Tourism and Geosites. 2024, 53(2), 622-629. ISSN 2065-1198.
- Halmo, M., 2018. Communication of local authority in conditions of the Slovak Republic. In: Development, Democracy and Society in the Contemporary World: proceedings of 5th ACADEMOS Conference2018. Bucharest, Romania, 2018, 196-200. ISBN 978-88-85813-08-3.
- Hatňaková, M., 2020. Aké znalosti sú aktuálne v marketingu najžiadanejšie? 2020. [online]. [cit. 2025-07-08]. Available at: <https://blog.profesia.sk/ake-znalosti-su-v-marketingu-najziadanejsie/>
- Kebab, M., 2025. Zámery prijatia cestovných aplikácií: Rozšírenie modelu akceptácie technológie o dôveru. In: Marketing Science & Inspirations. 2025, 320(2), 45-58. ISSN 1338-7944. [online]. [cit. 2025-07-08]. Available at: <https://msijournal.com/travel-app-adoption-intentions-extending-tam-model/>
- Kočišová, L. and Štarchoň, P., 2023. Úloha marketingových metrík v sociálnych médiách: Komplexná analýza. In: Marketing Science & Inspirations. 2023, 18(2), 40-49. ISSN 1338-7944. [online]. [cit. 2025-07-14]. Available at: <https://msijournal.com/the-role-of-marketing-metrics-in-social-media/>
- Kumar, V. et al., 2025. Digital marketing tools – Tourism and upcoming urends. In: Proceedings of the 9th International Conference on Synergizing Sustainable Technologies and Management Practices. 2025, 116-129. ISBN 978‑94‑6463‑682‑6.
- Lukáč, M. and Halmo, M., 2018. Innovation management anamnesis in the Slovak and Czech public sector. In: Scientia et Societas. 2018, 14(2), 41-58. ISSN 1801-6057.
- Melušová, K., 2021. Marketing management of the territory as a prerequisite for regional development and building competitiveness: dissertation thesis. Trnava: UCM v Trnave, 2021. 205 p.
- Morrison, A. M., 2013. Marketing and managing tourism destinations. New York: Routlidge, 2013, 596 p. ISBN 978-0-415-67250-4.
- Reľovská, D. and Štrbová, E., 2021. Vnímanie digitálneho influencera na Instagrame a jeho dopad na nákupné správanie. In: Marketing Science & Inspirations. 2021, 16 (3), 31-41. ISSN 1338-7944. [online]. [cit. 2025-07-14]. Available at: <https://msijournal.com/vnimanie-digitalneho-influencera-na-instagrame/>
- Ryan, T. et al., 2017. How social are social media? A review of online social behaviour and connectedness. In: Journal of Relationships Research. 2017, 8(8), 1-8. ISSN 1838-0956. [online]. [cit. 2025-07-09]. Available at: <https://www.researchgate.net/publication/316451113_How_Social_Are_Social_Media_A_Review_of_Online_Social_Behaviour_and_Connectedness>
- Sammy, Ch. L., Robinson, P. and Oriande, A., 2017. Destination marketing: The use of technology since the millennium. In: Journal of Destination Marketing and Management. 2017, 6(2), 95-102. ISSN 2212-571X. [online]. [cit. 2025-07-09]. Available at: <https://www.researchgate.net/publication/316722932_Destination_marketing_The_use_of_technology_since_the_millennium>
- Sutresno, S. A. and Singgalen, Y. A., 2023. Digital innovation design of tourism destination marketing website using design thinking method. In: Journal of Information Systems and Informatics. 2023, 5(2), 428-444. ISSN 2656-4882.
- Szromnik, A., 2016. City placement: A new elment in the strategy if intregrated marketing communication of cities. In: Journal of Management and Business Administration. 2016, 24(1), 113-132. ISSN 2450-7814. [online]. [cit. 2025-07-09]. Available at: <https://www.researchgate.net/publication/299334519_City_Placement_A_New_Element_in_the_Strategy_of_Integrated_Marketing_Communication_of_Cities>
- Vangelov, N., 2022. Digital marketing and outdoor advertising in smart cities. In: Smart Cities and Regional Development Journal. 2022, 6(I3), 81-91. ISSN 2821-7888. [online]. [cit. 2025-07-09]. Available at: <https://scrd.eu/index.php/scrd/article/view/138/111>
Kľúčové slová/Key words
digital marketing communication, new trends of e-tourism, actors of local government, barriers of implementing digital marketing communications, local government financing
digitálna marketingová komunikácia, nové trendy v e-turizme, aktéri miestnej samosprávy, bariéry implementácie digitálnej marketingovej komunikácie, financovanie miestnej samosprávy
JEL klasifikácia/JEL Classification
C12, M31, M39
Résumé
Nové trendy marketingovej komunikácie v digitálnej ére turizmu: Územné disparity a aktuálne výzvy
V súčasnosti možno sledovať zvyšujúci sa význam miestnych samospráv v otázke rozvoja turistického potenciálu svojho územia. Stávajú sa tak pilierom turizmu, pretože tvoria atraktívne prostredie pre návštevníkov, taktiež zabezpečujú správu a rozvoj verejných priestorov, ktoré sú nevyhnutné pre turistické aktivity. Mestá, ako správne a územné celky v európskych krajinách, majú možnosť využiť mnohé prvky k dosiahnutiu zvýšenia rozvoja turizmu v podobe zavedenia integrovaného prístupu k riešeniu existujúcich problémov na svojom území. Cieľom štúdie je identifikovať úroveň využívania digitálnych nástrojov marketingovej komunikácie v kontexte rozvoja mestského turizmu v podmienkach Slovenskej republiky, resp. analyzovať možné bariéry a disparity ich implementácie v praxi. S úmyslom premietnuť teoretický náhľad do praxe je v analytickej časti práce definovaný význam digitalizácie pre oblasť turizmu a možnosti využívania digitálnych komunikačných nástrojov v skúmaných samosprávach. Na ne nadväzuje deskriptívna analýza primárnych dát v oblasti využívaných nástrojov online marketingovej komunikácie a štatistické overenie dvoch stanovených hypotéz.
Recenzované/Reviewed
31. October 2025 / 11. November 2025












